(Решено)Упр.163 Часть 2 ГДЗ Дорофеев Петерсон 6...
(Решено)Упр.67 Часть 2 ГДЗ Дорофеев Петерсон 6 ...
Часть 2 Номер 9 - ГДЗ по математике 6 класс Дор...
(Решено)Упр.166 Часть 2 ГДЗ Дорофеев Петерсон 6...
ГДЗ часть 2 26 математика 6 класс Петерсон, Дор...
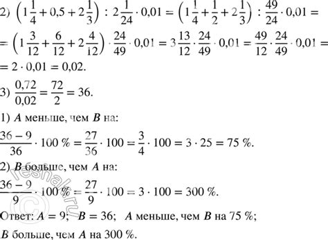
ГДЗ часть 2 166 математика 6 класс Петерсон, До...
ГДЗ часть 2 436 математика 6 класс Петерсон, До...
(Решено)Упр.255 Часть 2 ГДЗ Дорофеев Петерсон 6...
Часть 2 Номер 4 - ГДЗ по математике 6 класс Дор...
ГДЗ часть 2 141 математика 6 класс Петерсон, До...
ГДЗ часть 2 198 математика 6 класс Петерсон, До...
ГДЗ часть 2 20 математика 6 класс Петерсон, Дор...
ГДЗ часть 2 115 математика 6 класс Петерсон, До...
ГДЗ часть 2 65 математика 6 класс Петерсон, Дор...
(Решено)Упр.410 Часть 2 ГДЗ Дорофеев Петерсон 6...
Часть 2 Номер 3 - ГДЗ по математике 6 класс Дор...
ГДЗ часть 2 197 математика 6 класс Петерсон, До...
(Решено)Упр.136 Часть 2 ГДЗ Дорофеев Петерсон 6...
(Решено)Упр.106 Часть 2 ГДЗ Дорофеев Петерсон 6...
Учебник По Математике 6 Класс Петерсон 2 Часть ...
ГДЗ часть 2 106 математика 6 класс Петерсон, До...
ГДЗ часть 2 99 математика 6 класс Петерсон, Дор...
(Решено)Упр.26 Часть 2 ГДЗ Дорофеев Петерсон 6 ...
ГДЗ часть 2 522 математика 6 класс Петерсон, До...
Математика 6 класс Учебник Дорофеев Петерсон ча...
ГДЗ часть 2 108 математика 6 класс Петерсон, До...
(Решено)Упр.2 Часть 1 ГДЗ Дорофеев Петерсон 6 к...
Часть 2 Номер 6 - ГДЗ по математике 6 класс Дор...
(Решено)Упр.3 Часть 2 ГДЗ Дорофеев Петерсон 6 к...
ГДЗ часть 2 38 математика 6 класс Петерсон, Дор...
ГДЗ часть 2 277 математика 6 класс Петерсон, До...
ГДЗ часть 2 156 математика 6 класс Петерсон, До...
Часть 2 Номер 7 - ГДЗ по математике 6 класс Дор...
ГДЗ часть 2 209 математика 6 класс Петерсон, До...